前列腺癌和乳腺癌
是美国现存和新发数量最高的两种癌症
根据美国癌症协会和美国国家癌症研究所发表在顶级医学期刊CA的统计数据,截至2022 年1月1日,美国共有超过1800万的癌症幸存者,三分之二的人年龄在65岁以上。在将来,随着老龄化和医疗技术的发展,这一数字还将不断增长。这1800万幸存者中有406万人曾患乳腺癌,352万人曾患前列腺癌,它们也分别是美国女性和男性发病率最高的两种癌症。根据美国癌症协会的预测,在2022年,美国将有192万的肿瘤新发病例,前三大癌症分别为乳腺癌(28.8万)、前列腺癌(26.8万)以及肺癌(23.7万);同时将有61万的死亡病例,其中肺癌造成的死亡病例最多,将达到13万,其次是结直肠癌,将达到5.3万。
美国现存患者肿瘤病史
2022年美国新发肿瘤病例预测
自1990年以来,美国肿瘤患者的死亡率不断下降,1990年时男性的死亡率为215.1/10万,而到了2019年则已下降到146.0/10万,女性死亡率则是从175.2/10万下降到了125.1/10万。根据美国肿瘤协会的分析,死亡率的改善主要来自吸烟减少和肿瘤筛查的推广,尤以乳腺癌和肺癌的效果最为明显。与此同时,肿瘤患者的五年生存率则不断提高,20世纪70年代时所有肿瘤患者的五年生存率仅为49%,目前已提高到69%,十年生存率则已达到53%。在细分癌种中,前列腺癌和甲状腺癌的五年生存率最高,已达到了98%的水平,乳腺癌的五年生存率也比较高,为90%,另一大癌种肺癌的五年生存率则十分低,仅为22%。
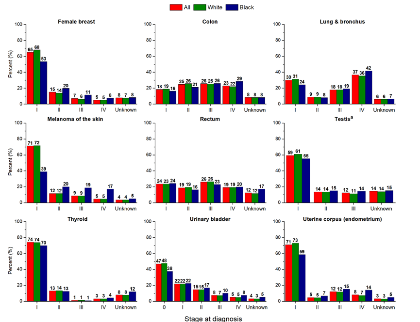
肿瘤患者的长期生存率及最终治疗结果既与治疗药物的先进性有关,也与其确诊时肿瘤分期相关。越是早期确诊的肿瘤,治疗难度越小,治疗结局也更佳。比如五年生存率到达90%的乳腺癌,受益于早期筛查的普及,有65%的乳腺癌患者确诊时为I期,这部分患者的五年生存率接近100%,而IV期的患者五年生存率只有28%;肺癌患者五年生存率低的一大原因是只有30%的患者确诊时为I期,有55%的患者确诊时为III期和IV期,I期和IV期的五年生存率分别为65%和5%。对于其他癌种,从下图可以看出,黑色素瘤、睾丸癌、甲状腺癌、子宫内膜癌确诊为I期的比例较高,在60-70%,因此也预示着这些肿瘤患者的治疗结局会更佳,而结直肠癌确诊为I期的比例较低,仅为18-24%,说明这两种疾病较为凶险。
早期癌症主要通过手术切除
晚期则采用放化疗
早期乳腺癌(I或II)中有一半的患者接受了保乳手术(BCS)和辅助放疗,33%的患者接受了乳房切除手术(Mastectomy),在III期的患者中,有65%的患者切除了乳房,仅23%的患者能够做保乳手术,而病情更严重的IV期患者已基本不符合手术条件,因此有83%的IV期患者接受的是放化疗及免疫治疗,这部分患者的五年生存率较低,只有28%。
美国有超过140万人有结直肠癌患病史,大多数早期(I/II)结肠癌患者通过切除结肠来治疗,对于III期结肠癌患者来说,除了切除手术,同时还需要接受化疗来防止/减少复发,而对于IV期结肠癌,则有51%的患者失去手术机会,只能接受化疗免疫治疗等药物治疗。直肠癌的治疗情况类似,对于I/ II/III期的直肠癌患者,仍有较大的手术切除机会,同时也可能接受辅助放化疗降低复发风险。而对于IV期患者,则有82%无法手术,需要接受化疗及免疫治疗。结直肠癌患者的五年生存率已从70年代中期的50%提高到了目前的65%,其I期患者的五年生存率超过90%,而IV期患者不到15%。
早期肺癌通常无症状,因此大多数NSCLC病例在确诊时已处于晚期。NSCLC患者约有39%被确诊为I/II期,37%被确诊为IV期,有超过一半(55%)的I/II期患者可通过手术治疗,切除/部分切除肺叶和气道,五年生存率可达60%;IV期患者则已发生远端转移,丧失手术机会,绝大部分采用放化疗及免疫治疗,如EGFR/ALK靶向抑制剂、PD-1/L1单抗等,五年生存率仅有5%。
非小细胞癌分期治疗方式
前列腺癌是美国男性第一大癌种,超过350万美国人有前列腺癌患病史,患者的治疗方案因肿瘤分期以及患者特征(例如年龄、合并症和个人喜好)而有所差异。84%的前列腺癌是在早中期未发生转移时发现的,这部分患者的五年生存率接近100%,医生通常建议他们进行主动监测而非立即治疗,根治性前列腺切除手术在前列腺癌治疗方式中的占比仅为31%;对于已经转移的晚期患者,主要通过雄激素剥夺以及放化疗进行治疗,五年生存率仅有31%。

中美肿瘤患者治疗结局仍有较大差距
根据中国国家癌症中心的统计,2012-2015年间,中国所有肿瘤患者的五年生存率仅为40.5%,而美国2011-2017年间所有肿瘤患者的五年生存率已高达69%,其中前列腺癌和甲状腺癌均已达到98%,基本实现治愈/带瘤生存,但中国这两种癌症的五年生存率仅为66.4%和84.3%,仍存在一定差距,这主要与肿瘤筛查的普及度有关;在乳腺癌、肺癌这两个大癌种中,中美之间的差距则稍小,乳腺癌(90% vs 82%)、肺癌(22.0% vs 19.7%)。总体来说,中国肿瘤患者的长期生存率明显低于美国,这主要是中国早期肿瘤患者占比低于美国导致。因此,为了改善中国肿瘤患者的治疗结局,一方面我们需要大力开发创新药,提高中晚期患者的长期生存,另一方面,我们更需要加快推进肿瘤早筛工作,让更多的患者在早期就被发现,从而通过手术实现更佳疗效。
[1] Siegel RL, Miller KD, Fuchs HE et al. Cancer statistics, 2022. CA Cancer J Clin. 2022 Jan;72(1):7-33.
[2] Miller KD, Nogueira L, Devasia T et al. Cancer treatment and survivorship statistics, 2022. CA Cancer J Clin. 2022 Jun; 0:1-28.
[3] Zeng H, Chen W, Zheng R et al. Changing cancer survival in China during 2003-15: a pooled analysis of 17 population-based cancer registries. Lancet Glob Health. 2018 May;6(5):e555-e567.
[4] R.S Z, S.W Z, H.M Z et al. Cancer incidence and mortality in China, 2016. Journal of the National Cancer Center 2 (2022) 1–9.